Solution for ace ahead qc. I will give you some heads up to do well or at least survive in Maths T your additional mathematics will serve as the foundation to the subject.

Stpm Mathematics T Sequences And Series
Numbers and sets 11 Real numbers 12 Exponents and logarithms 13 Complex numbers 14 Sets Explanatory notes Candidates should be able to a understand the real number system.

Stpm math t sem 1 formula. Ncert solutions for class 12 maths in pdf download free. Term 1 - Algebra and Calculus. The geometric series formula exponential function formula sine formula and cosine formula are some of the most important examples of a power series.
SAVE IMAGE TO PAINT AND INVERT THE COLOR. Hence explain why f g does not exist. And may i know how to find point of intersection by using simultaneous equation.
ENABLE YOU TO GET ENLARGED IMAGE. Form 6 mathematics t chapter 1 notes babyloncafeatl com. SOLUTION FOR QUICK CHECK 62.
SOLUTION FOR QUICK CHECK 66. SOLUTION FOR QUICK CHECK 65. 132 means 132 scores 1 15 b Median 2 8th value 125 1 15 Q1 4 4th value 115 3 1 15 Q3 4 12th value 145 Oxford.
Mathematics notes form 2. STPM Term 1 Examination 8. D use the notation for intervals of real numbers.
1 - Functions moderate 2 - Sequences and series hard 3 - Matrices moderately easy 4 - Differentiation moderate 5 - Integration hard 6 - Differential equation hard Get the modules here and. Angela s blog stpm mathematics t chapter 1 note function. SOLUTION FOR QUICK CHECK 63.
Please refer to your reference books before using or memorizing the formulae. 18 minutes A conic section is given by 9. Right clip then Open link in new tab.
The function of f and g are defined by f. 27 solution for ace ahead qc. The percentage of each grade is as follows.
Oic then that makes clear that i dont really understand haha cuz i thought u solve the simultaneous equation to find the point of intersection first and assuming one of the particles be at that point then traces back t value and find coordinate of another particleIf x1x2 and y1y2 then it collide So now your working is to find the point where particles collide. Besides Maths T and Maths S are mutually exclusive. For the total number of combinations please refer to your school teacher.
N is scale factor horizontal. C use the properties of real numbers. Sijil Tinggi Persekolahan Malaysia.
ENABLE YOU TO GET ENLARGED IMAGE. T 1 v f 2 x where f frequency v velocity wavelength phase difference a Equation of progressive wave 2 y asint x for negative Oxdirection and - for positive Ox-direction Wave Intensity 2 2 1 r I a where I intensity a amplitude r radius Principle of Superposition. Term 1 - Lesson module Topical Test and Mock Exam papers.
25 solution for ace ahead qc. B carry out elementary operations on real numbers. SOLUTION FOR EXERCISE 61.
10-07-2019 22 Series 23 Binomial expansions 10. Grade A A B B B C C C D D F Percentage 810 578 529 799 852 911 951 435 472 496 3165 CANDIDATES RESPONSES General comments. We heart maths form 1 chapter 3.
A is scale factor vertical. STPM Mathematics Formula Formula Matematik STPM. 28 solution for ace ahead qc.
23 solution for ace ahead qc. C is translation updown. Answer all questions in this section.
Gardens of knowledge mathematics notes form 4 all topic. 43 0 a Express the equation in standard form. 210 solution for ace ahead qc.
26 solution for ace ahead qc. Stpm further mathematics t. So if youre doing well back in SPM scoring 75 and above by that I mean your trial exam results then you.
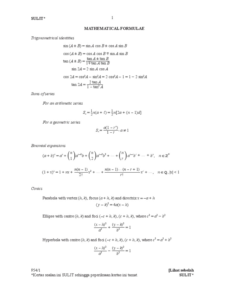
Please take note that the first eight topics Paper 1 of Maths T and Maths S are the same. MATHEMATICAL FORMULAE RUMUS MATEMATIK Differentiation Pembezaan d 1 sin1 dx 1 x2 d 1 cos1 dx 1 x2 d 1 kos1 dx 1 x2 d 1 tan1 dx 1x 2 Integration Pengamiran f x f x dx ln fx c dv du u dx dx uv v dx dx Maclaurin series Siri Maclaurin x2 xr ex 1 x 2. 1 Sn 1 2 n a l 2 n 2a n - 1 d sin A B sin A cos B cos A sin B cos A B cos A cos B sin A sin B tan A tan B tan A B 1 tan A tan B sin 2A 2 sin A cos A cos 2A cos2A sin2A 2 cos2A 1 1 2 sin2A 2 tan A tan 2A 1 - tan2 A.
SEMESTER 1 1 OVERALL PERFORMANCE In Semester 1 4 553 candidates sat the examination for this subject and 5430 of them obtained a full pass. 24 solution for ace ahead qc. Y 1 2 t 2 0 1.
Maclaurin series is a power series that takes the simpler form of the Taylor series. Do note that the new syllabus for MathsT is much wider than the old syllabus of MathsT which some chapters being transferred from the old syllabus of FurtherMaths almost 6 excluding sub-topics like 3D vector and Matriculation semester 1 chapter 5. X x 2 4.
22 solution for ace ahead qc. X x 2 and g. 3 b Determine the coordinates of the centre the vertices and the foci of the hyperbola.
In this video Teacher Im will teach you how to factorize polynomial given in the STPM MATH T examination paper. SOLUTION FOR QUICK CHECK 67. Determine the domain and.
Of course there are. So here is your first term in Mathematics M with topics on algebra and calculus dishing out to you as follows. SOLUTION FOR QUICK CHECK 64.
FIRST TERM FUNCTIONS SEQUENCES AND SERIES MATRICES COMPLEX NUMBERS ANALYTIC GEOMETRY VECTORS SECOND TERM LIMITS CONTINUITY DIFFERENTIATION INTEGRATION DIFFERENTIAL EQUATIONS MACLAURIN SERIES NUMERICAL METHODS THIRD TERM DATA DESCRIPTION PROBABILITY PROBABILITY. Range of both f and g. CHAPTER 13 u0007 Focus on Exam 13 1 a Draft 10 4 9 4 11 7 5 12 5 4 0 13 4 2 14 5 2 15 8 16 0 2 Final 10 4 4 9 11 5 7 12 0 4 5 13 2 4 14 2 5 15 8 16 0 2 Key.
Right clip then Open link in new tab. YEARLY PLAN FOR MATHEMATICS T 954 PRE-U 1st Term 2019. SOLVING TRIGONOMETRIC EQUATIONS - STPM MATH T SEM 1 - YouTube.
Mathematics T STPM Semester 1 Quiz Total marks. In other words a STPM candidate cannot take both subjects at the same time. You may download and use the formulae sheet but you are not allowed to re-distribute it.
SOLUTION FOR QUICK CHECK 61. MATHEMATICS T 6 SEM 1 YEAR 2019. 21 solution for ace ahead qc.
Every step will be shown clearly so that y. Formula for the sum of a convergent geometric series. Welcome to STPM Mathematics T.
29 solution for ace ahead qc. Maths T is taken by most science stream stuedents whereas Maths S is taken by some art stream students. Semoga perkongsian bahan-bahan rujukan panduan bahan pembelajaran dan pengajaran contoh-contoh karangan sumber rujukan STPM Sijil Tinggi Persekolahan Malaysia tingkatan 6 dalam post di blog Bumi Gemilang berguna dan dapat membantu para.
There might be mistakes in the formulae as typing errors might occur.

Stpm Mathematics T Complex Numbers

Solving Trigonometric Equations Stpm Math T Sem 1 Youtube
Stpm 2017 Mt Paper 1 Sample Solution Kk Lee Mathematics


